-
- 0000000000000000
-
1888 发帖7917 回复34980 积分
- 私信他 + 关注
电流探头是示波器测量电流的必备配件,但不同品牌之间价格往往差别很大,到底什么样的电探头才是可靠的呢?本文分享了电流探头可靠性验证的完整过程,并呈现所有实测结果,您也可依据此法对自己使用的电流探头进行验证。
一、直流精度验证
ZCP0030-50标称直流精度为1%rdg±1mV,实测精度如表1所示。
1、测试条件
精度测试所使用试仪器为FLUKE5720校准器、六位半万用表DMM6000。测试步骤,校准器FLUKE5720输出不同的被测电流值,万用表读取电流探头的响应电压值。
图1 直流精度测试环境
2、精度数据
表1 直流精度测试数据
3、验证结论
上表格的数据显示,ZCP0030-50在量程范围内的直流精度在1%rdg±1mV以内。
回复
举报
-
- 0000000000000000
-
1888 发帖7917 回复34980 积分
- 私信他 +关注
楼主
|
回复于 2017-10-18
沙发
二、上升时间验证
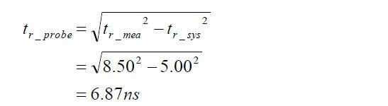
ZCP0030-50的带宽是50MHz,对应上升时间≤7ns。探头上升时间是指测试脉冲时,测量系统响应波形从稳态值的10%上升到90%所需要的时间,是一个很关键的参数,上升时间越快,说明探头的响应越快,能测到更加快速变化的电流波形,还原电流波形的性能越好。
1、测试条件
测试电流探头的上升时间使用的测试仪器是信号发生器Keysight33600和示波器ZDS2022。信号发生器产生上升时间为5ns的方波,示波器显示经过电流探头后的上升波形和时间。
2、波形数据
图2 ZCP0030-50的上升时间
如图2所示,根据示波器测量到的上升时间为8.5ns,这个总时间是信号发生器自身的上升时间加上探头的上升时间,所以实际上探头的上升时间还需要将总时间减去信号发生器自身的上升时间,具体的计算公式如下。
3、验证结论
实测结果在理论计算范围内,上升时间正常,实测带宽在50MHz以上。
-
- 0000000000000000
-
1888 发帖7917 回复34980 积分
- 私信他 +关注
楼主
|
回复于 2017-10-18
2#
三、方波响应验证
方波响应主要是用来简易测试电流探头幅频响应特性的测试方法。电流探头能够完整的重现方波波形,不出现畸变,说明探头的幅频响应平坦,是良好的。
1、测试条件
测试电流探头的方波响应时,使用的测试仪器是信号发生器Keysight33600和示波器ZDS2022。信号发生器产生电流峰峰值为100mA,频率分别1KHz、100KHz、1MHz为的方波,示波器显示相对应的方波波形。
2、波形数据
如图3所示,在测试1KHz的电流方波时,探头的方波响应是很好的,波形基本上没有畸变,波形比较平坦,没有发生倾斜等。
图3 1KHz电流方波响应
如图4所示,在测试100KHz的电流方波时,探头的方波响应是很好的,波形基本上没有畸变,波形比较平坦,没有发生倾斜等。
图4 100KHz电流方波响应
如图5所示,在测试1MHz的电流方波时,探头的整体方波响应的波形基本上没有畸变,波形比较平坦,没有发生倾斜等。
图5 1MHz电流方波响应
3、验证结论
实测结果在理论计算范围内,幅频响应平坦。
-
- 0000000000000000
-
1888 发帖7917 回复34980 积分
- 私信他 +关注
楼主
|
回复于 2017-10-18
3#
四、噪声评测
噪声是电流探头的重要参数,噪声的大小直接影响到探头的分辨率,噪声越小,分辨率越高。
1、测试条件
噪声测试主要是使用示波器ZDS2022来观察测试,并记录相应的测试值。
2、精度数据
如图6所示,测试出来的电流探头的实际噪声的峰峰值小于10mA,交流有效值小于1mArms。
图6 噪声测试
3、验证结论
实测结果在理论计算范围内,噪声控制良好。
-
- 0000000000000000
-
1888 发帖7917 回复34980 积分
- 私信他 +关注
楼主
|
回复于 2017-10-18
4#
五、开关电源波形实测
示波器电流探头主要用来配合示波器观察电路上的电流波形,比如说MOS管上的电流波形,方便工程师调试电路,发现电路问题。通过测量开关电源开关管上的电流波形,将ZCP0030-50和T公司的TCP312进行对比测试,进一步验证性能。
图7 电流探头测试开关管电流的连接图
1、测试条件
电流波形对比测试主要用到的测试仪器主要有:ZDS2022示波器、电子负载、开关电源、电流探头ZCP0030-50和TCP312。
测试步骤如下:
(1)将电流探头ZCP0030-50和TCP312上电消磁调零后,将两个探头同时夹到在MOS管DS极间引出的导线上,将BNC输出分别连接到示波器的通道1和通道2。具体如图8所示。
图8 开关管电流波形对比测试的仪器连接
(2)将开关电源的输出接到电子负载上,给开关电源供电,电子负载可以设置为空载或者满载状态,观察在两种不同负载下,MOS管上不同的电流波形。
2、对比测试
如图9所示,在开关电源满载情况下,电流探头ZCP0030-50和TCP312都能够完整测量到MOS管上的电流波形,因TCP312带宽为120MHz,二者峰峰值有约4%的差异。如图10所示,在开关电源空载的情况下,电流探头测量到的电流波形。
图9 满载时MOS管DS极间的电流波形
图10 空载时MOS管DS极间的电流波形
开关电源的开关频率并不是很高,大约在100KHz,但瞬时变化的上升时间却是在ns级别的,需要高带宽的电流探头才能完整的重现电流波形细节。在开关电源满载的情况下,将电流波形放大,观察电流快速变化处的波形细节,两种探头显示的波形细节几乎一样,如图11所示。在开关电源空载的情况下,如图12所示。
图11 满载时MOS管DS极间的电流波形细节
图12 空载时MOS管DS极间的电流波形细节
3、验证结论
对于高频噪声而言,实测结果的微小差异源自于带宽差别,但对于开关频率只在几百KHz的信号而言,带宽差别对实验结果影响很小。此处建议选择50M带宽即可。
-
- 0000000000000000
-
1888 发帖7917 回复34980 积分
- 私信他 +关注
楼主
|
回复于 2017-10-18
5#
六、最终总结
一般来说直流精度、上升时间、方波响应、噪声、以及开关电源开关管电流波形等多个角度进行了全方位的实测即可相对完整的验证整体测试结果。如果您想要实际体验ZLG致远电子ZCP0030-50电流探头,欢迎拨打4008884005联系我们,也欢迎在微信后台直接留言。
-
- 0000000000000000
-
1888 发帖7917 回复34980 积分
- 私信他 +关注
块
导
航
举报
请选择举报类别
- 广告垃圾
- 违规内容
- 恶意灌水
- 重复发帖

发帖
回复